
3 operation we want to sovle fast (for all x)
1. Evaluation == given A(x) and x0 compute A(x0) , naive = O(n^2), with Horner's Rule = O(n)
Horner's Rue == A(x) = a0 +x(a1 +x(a2 + ... x(an)..)) == doing x product one at a time for evey step == O(n)
2. Addition == given A(x) ,B(x) compute C(x) = A(x) + B(x) , takes O(n) == ck = ak+bk (n)times
3. Multiplication == given A(x) B(x) compute C(x)=A(x)*B(x) we can represent Ck as

Representation of polynomials
1. Coefficent vector with a monomial basis (above, coefficent vector)
2. Roots and a scale term // A(x) = (x-r0) * (x-r1) .... (x-rn-1) *c
1 ->2 impossible to do becuase there are no ways to solve if degree is larger than 5
addition is difficult even though you convert into 1 there is no guaranteed relation between original 2 and summed value of 1 , multiplication is just concatenating vectors
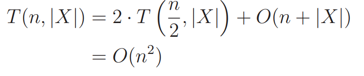
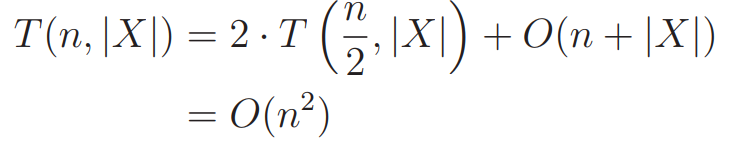
3. Sample // (x0,y0) , (x1,y1) , .. (xn-1, yn-1) with A(xi) = yi for all i and each xi is distinct. polynomial interpolation takes O(n^2)

Vandermonde matrix

Divide and Conquer Algorithm (compute V * A , x in SET(X))
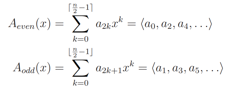
1. Divide the polynomial A into its even and odd coefficents

2. Recursively conquer Aeven(y) for y int SET(X^2) and Aodd(y) for y in SET(X^2) , where X^2 is set of {x^2|x in SET(X)} ==
3. Combine terms. A(x) = Aeven(x^2) + x * Aodd(x^2) for x in SET(X) == linear time O(n)

even though we divide into 2 subproblem but in each subproblelm we still need to evaulate |X| times which is n.
|X| need to be smaller something like |X|/2 , Collapsing Set == |X^2| =|X| , OR |X|=1
|X| =1 ; X = {1}
|X| = 2 ; X = {-1, 1}
|X| = 4 ; X = {-1,1,-i,i}


as long as n is power of 2 this above set(uniformally spaced in unit circle) is Collpasing Set
DFT = V* A for xk is element of set in above formula where n is factor of 2
FFT = use DFT + divide and conquer = nlogn time complexity
we now know how to go vector to samples in nlogn but we need vice versa
V(inverse) = V(conjugate)/n // since complex number's conjugate is just putting minus before complex part we can get it easily
A* = FFT(A) = V x A
B* = FFT(B) = V x B
C* = A* x B*
C = IFFT(C*) samples to vector
everything in nlogn
Reference ==
3. Divide & Conquer: FFT - YouTube
'Algorithm > Design and Analysis of Algorithms' 카테고리의 다른 글
| Dijkstra , bellman-ford ,Bi-directional Djikstra (0) | 2021.01.05 |
|---|---|
| Tree and B-Trees (0) | 2020.12.30 |
| Weighted Interval Scheduling (0) | 2020.12.26 |
| Convex Hull , Median Find (0) | 2020.12.13 |
| Interval Scheduling (0) | 2020.12.12 |