Convex Hull
S = {(xi, yi)|i = 1, 2,...,n} assume no two have same x coordinate, no two have same y coordinate, and no three in a line for convenience
Convex Hull ( CH(S) ) == smallest convex polygon containing all points in S


Brute force
Test each line segment to see if it makes up an edge of the convex hull
• If the rest of the points are on one side of the segment, the segment is on the convex hull
• else the segment is not.
O(n2) edges, O(n) tests ⇒ O(n3) complexity
Divide and Conquer Convex Hull
Sort points by x coord (once and for all, O(n logn ) )
For input set S of points:
• Divide into left half A and right half B by x coords
• Compute CH(A) and CH(B)
• Combine CH’s of two halves (merge step)

better algorithm so called "finger line algorithm" , need to see demonstartion
== 2. Divide & Conquer: Convex Hull, Median Finding - YouTube
left side = counter clockwise , right side = clockwise //

to represent new convex hull(merged one) , we just walk thorough upper tangent to lower tangent
a3(upper) b1 b2 b3 b4(lower) a1 a2 == O(N)
Median Finding
Given set of n numbers, define rank(x) as number of numbers in the set that are ≤ x.
Find element of rank FLOOR((n+1)/2)(lower median) and CEIL((n+1)/2)(upper median).


but picking x might be extremly unbalance! == O(N^2) How do we pick cleverly? we want determinstic fairly balanced partition
Picking x Cleverly
Need to pick x so rank(x) is not extreme.
• Arrange S into columns of size 5 ( CEIL (n/5) cols)
• Sort each column (bigger elements on top) (linear time) , only 5 element
• Find “median of medians” as x


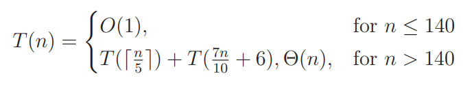
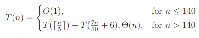
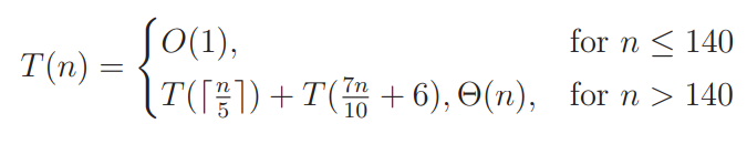
T(n/5) == finding median of median using SELECT algorithm,
T(7n/10 +6) == n - half( 3( n/10 -2) ) elements , O(N) == sorting whole cloumn
'Algorithm > Design and Analysis of Algorithms' 카테고리의 다른 글
| Dijkstra , bellman-ford ,Bi-directional Djikstra (0) | 2021.01.05 |
|---|---|
| Tree and B-Trees (0) | 2020.12.30 |
| Divide & Conquer: FFT (0) | 2020.12.27 |
| Weighted Interval Scheduling (0) | 2020.12.26 |
| Interval Scheduling (0) | 2020.12.12 |